新闻动态
企业领导者在组织中扮演着重要的角色,是带领企业实现组织目标的核心人物,其管理行为的有效性直接影响组织的经营绩效。以往众多的研究发现领导者个性特质与领导者的工作绩效存在一定相关性,基于对领导者个性的测量可对其工作行为和绩效进行预测。
本文使用诺姆四达近六年“领导个性测验”数据,对不同性别、年龄、学历、行业、企业性质的管理者人群的个性倾向进行分析,以帮助企业更精准地把握管理人员的个性特征。统计分析发现,管理者具有突出的责任心、内归因、合群性和自律性。从行业上看,科技互联网行业的管理者坚韧、自律且乐群;汽车行业的领导者管理意愿强、具有开拓创新精神且自律自强;金融行业的管理者更明显地具有乐群性、责任心和灵活性;交通运输服务业的管理者则具有明显的合群、外向和责任心强的特征。从企业性质上看,国企管理者管理意愿更强,合资(外资)企业的管理者具有更强的创新性和灵活性,而民营企业的管理者在工作中的成就意愿更强。
数据说明:诺姆四达集团针对企业领导者的工作特点,开发了领导个性量表lpi(leadership personality inventory),适用于各层级的企业领导管理人员,包括企业领导者、各部门负责人、一线主管、项目经理等。该量表采用自陈题,测量与企业领导者工作绩效或管理绩效密切相关的个性特质。通过测验可以较全面地了解被评价者的领导个性表现,为企业领导者的甄选、培训提供依据。本文基于诺姆四达线上测评系统的数据库,选取2017年1月至2022年12月,来自11个行业3大类企业中具有代表性的企业的测评结果进行综合分析,数据总量为126826个。
总体测评数据分析
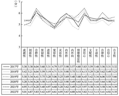
从2017~2022年测评结果来看,管理者在责任心(6.18)、合群性(6.17)、内外控(5.80)、自律性(5.66)上得分较高,在宽容性(4.69)上得分最低。
数据表明,被测管理者普遍对工作投入度高,勇于担责,乐于交往,严以律己,遇事倾向于从自身寻找成败的原因,并且相信工作成果取决于努力程度。除此之外,被测管理者也表现出对他人要求严格,对犯错的容忍度低的特点。
数据显示,合群性(6.41)、坚韧性(5.75)、宽容性(5.06)、情绪稳定性(5.88)、责任心(6.45)、自律性(6.06)、自主性(5.66)这7个指标,在2019年得分明显高于其他年份。然而,领导个性中有15个指标的最低分均出现在2020~2022年。特别是合群性(5.83)、进取性(4.97)、灵活性(4.95)、内外向(4.88)、情绪稳定性(4.54)、责任心(5.82)、支配性(5.12)、主动性(5.13)、自律性(5.41)、自信心(4.92)这10个指标,在2022年得分均低于其他年份。
数据表明,自2019年开始,管理者在情绪稳定性、合群性、责任心、自律性等指标上的得分逐年降低;另外,近三年被测管理者在宽容性指标上的得分均较低。由此推测,新冠疫情为企业带来了较大的生产经营挑战,也使企业的管理者承受了较大的压力,情绪易波动,在工作中亲和力不足,且对其工作精力和积极性也有一定程度影响。
领导个性综合特点
1. 被测管理者在责任心、内外控、合群性、自律性上特征突出
2017~2022年所有的被测管理者呈现一定的共性特征,对工作投入度高,把追求高标准作为工作目标,也相信自身努力的价值终会实现,能有效约束和控制自己的言行。同时,对他人要求严格,对错误的容忍度低。
2. 2020~2022年领导个性得分呈下降趋势
被测管理者的个性指标得分在2019年较高,而从2020年开始呈下降趋势,特别是在合群性、宽容性和情绪稳定性上有明显的降低。
3. 男性管理者更擅长情绪管理,而女性管理者的合群性更强
被测女性管理者更具亲和力,而被测男性管理者在其他指标上的得分略高于女性管理者,特别是在情绪稳定性上男性管理者更优。
4. 领导个性的时代特征和学历优势明显
每个时代不同的政治、经济、人文背景塑造了符合时代的社会主流思想,进而引导着个人价值观的形成,从而影响着一代人的个性特质。“60后”管理者有较强的坚韧性,“70后”管理者更开放、包容,“80后”和“90后”有更强的管理意愿和进取心。此外,本科及硕士研究生学历的管理者在领导个性上的优势更突出。
不同行业的领导个性特点
各行业管理者在领导个性特质上的倾向优势不同,与所属行业的特点及组织对人才的素质要求相适应。
科技互联网行业的管理者具有坚韧、自律、乐群的个性倾向。科技互联网行业的管理者更专注于认定的目标,不轻言放弃,具有开放的心态,自律自强,勇于承担责任。同时,需要注意提升情绪管理的能力。
汽车行业的领导者管理意愿强、开拓创新、自律自强。汽车行业的管理者更喜欢组织和指挥他人开展工作,具有创新意识和观念,有较强的责任感和自律性。相对而言,如能保有进取心,则会更具竞争优势。
金融行业的管理者具有乐群性、责任心、灵活性的个性倾向。金融行业的管理者更善于交际,反应敏捷,对工作的责任心强。同时也需要进一步增强创新意识。
交通运输服务业的管理者具有合群、外向、负责的个性倾向。交通运输服务业的管理者具有亲和力,善于社交,能够约束自己在工作中的言行,认真负责。在心理调适方面做得较好,能够有效地管理情绪,善于自我肯定。同时,在进取性和成就性上需要进一步改善提升。
不同企业性质的领导个性特点
由于企业性质的不同,国企、民营和合资(外资)企业的管理者,在领导个性上具有不同的优势。
国企管理者情绪管理能力较好,管理意愿强烈,同时在工作中的投入度高,能够做到积极进取、自律自强,也具有较强的亲和力。如能增强创新意识,会更具优势。合资(外资)企业的管理者的个性特质较为鲜明,他们外向、有活力,思维活跃、富有想象力,总能提出新颖、创新的想法,行动力较强,能够灵活应对各种变化。但是,在责任心上有所不足。民营企业管理者注重工作中的意义和价值感,并能从中获得较好的成功体验,同时也有较强的自我内驱力,善于从自身出发寻找问题所在。但是,管理者的情绪波动较大,在情绪管理上有待提升。
总而言之,lpi对企业管理者的个性特征进行科学的测量,提供了更加清晰鲜明的管理者个性画像。鉴于领导者的个性特质与其管理方式、决策风格、组织氛围、工作绩效、才能发挥等有着密切联系,领导个性也影响着企业经营管理活动。因此,通过领导个性测评,企业管理者将加深自我认知,发扬个性优势、弥补个性短板,为企业发展更好地做出贡献。同时,在实际人力资源管理工作中,企业也应充分认识到管理者的个性特点因行业、企业性质、年龄等不同而存在差异。企业需注重对领导者个性的测评,将领导者个性特质作为人事决策的参考依据之一,从而提升人岗匹配度,促进团队和谐,并用人之长实现人尽其才,提升企业人才管理质效。
本文摘自《人力资源市场蓝皮书:中国人力资源市场分析报告(2023)》——《领导个性测验调查分析》,作者:苏永华。有删选。
点击图片即可跳转至
社会科学文献出版社官方店购书
如需电子版请前往皮书数据库购买


